Einstein’ın izafiyet Teorisi (Görelilik kuramı) göre, kütleli hiçbir parçacık ışık hızını geçemez.
Peki, ışık hızı gerçekten doğanın hız sınırı mıdır? Böyle olduğuna inanmak için güçlü gerekçelerimiz var, ancak bilimde hiçbir şey mutlak değildir. 1960’larda, bazı fizikçiler, maddenin ışık hızından daha hızlı hareket etmesi durumunda ne olacağını merak ettiler. Ve Takyon adını verdikleri varsayımsal bir parçacık düşündüler. Takyonların varlığına, özel görelilik kuramının matematiği izin vermekteydi. Sıradan parçacıklar nasıl asla ışık hızına çıkamıyorsa, takyonlar da ışık hızından yavaş gidemiyordu. Takyonlar her daim hareket halinde olduklarından durgun kütleleri de yoktu.
Takyonlar ilk olarak görelilik öncesi zamanlarda fizikçi Arnold Sommerfeld tarafından önerildi.
Yirminci yüzyılda fizikçi Gerald Feinberg ve diğer bilim insanları, görelilik teorisinin her daim ışıktan hızlı giden parçacıkların varlığını onayladığını bulmuşlardı.
Feinberg bu parçacıklara, Yunanca ‘hızlı’ anlamına gelen “Takyon” adını vermişti.
“Takyon” terimi bilimsel literatüre ilk olarak 1967’de “Possibility of faster-than-light particles (Işıktan hızlı parçacıkların olasılığı )” başlıklı makale ile dahil oldu.
Bu terminolojinin uzantısı olarak, ışıktan daha yavaş hareket eden parçacıklara tardyonlar (veya daha modern kullanımda bradyonlar) ve fotonlar gibi tam olarak ışık hızında hareket eden parçacıklara luksonlar denmekteydi.
Takyonlar Matematiksel Olarak Mümkün
Kütleli bir cisim ışık hızına eriştiğinde, Einstein’ın görelilik kuramına göre cismin kütlesi sonsuz olmaktadır. Ancak sonsuz kütleli bir cisim evrenimizle uyuşmamaktadır. Çünkü ışık hızının aşılması sonucunda, denklemlere göre kütle sonsuz değil, sanal olmaktadır. Başka bir ifadeyle, eğer hareketli bir nesne ışıktan daha hızlı olursa o cismin kütle, uzunluk, enerji gibi fiziki özellikleri sanal hale dönüşmektedir.
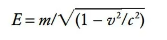
Aşağıdaki denkleme bir göz atalım.

Burada E, bir parçacığın kütle enerjisi, m kütlesi, v hızı ve c ışık hızıdır.
Formülden de görüldüğü gibi E arttıkça v’de artar. Bu durumda cismin hızı ışık hızına ulaştığı zaman kare kökün içi sıfır olacaktır. Yani enerji sonsuz, kütle ise sıfır olur. Yani madde yok olur ve enerjiye dönüşür. Eğer cismin hızı ışık hızından daha büyük olursa o zaman kare kökün içi eksi olur. Eksi sayılarda kare kök dışına çıkamayacağına göre, ancak kare kök dışına sanal sayı olarak çıkar. Bu sonuca göre de, kütle sanal (soyut) kütle olur.
Böylece izafiyet teorisi hesaplamasına göre soyut kütlenin yani eksi değerindeki kütlenin varlığı ispatlanmış olur. Yani herhangi bir cisim veya parçacık ışık hızından daha yüksek bir hızda hareket ediyorsa, bu cisim veya parçacık soyut (eksi) kütleye sahip demektir.
Takyonlar enerji kaybederlerse yavaşlar, enerji kazanırlarsa hızlanırlar. Bu, durumda bir soruna yol açar. Sonucunda ışık hızından daha hızlı hareket eden yüklü parçacıklar, Cherenkov radyasyonu şeklinde enerji yayar. Yüklü takyonlar, Cherenkov emisyonu yoluyla bir vakumda bile sürekli olarak enerji kaybedeceklerdir.
Bu onların hız kazanmalarına neden olacaktır. Enerji kaybettikçe de daha da çok hızlanacaklar ve sonunda kontrolden çıkacaklardır. Tüm bunların ötesinde, Fizikçi Gregory Benford ve meslektaşlarının ilk olarak 1970 tarihli makalelerinde belirttiği şey daha da ilginçtir. Şimdi “Takyonik Anti-Telefon” adını verdiği bir makine düşünelim. Bu Takyon telefonu zaman yolculuğu paradokslarına neden olacaktır.
Takyonlar Zaman Yolculuğuna İzin Verecektir
Albert Einstein ortaya çıkardığı özel görelilik kuramıyla, uzay ve zamanı birbirinden ayrı
düşünemeyeceğimizi öne sürerek uzayı dört boyutlu olarak tanımlamıştır. Duyu organlarımız aracılığıyla oluşturduğumuz algılara göre, geçmişten geleceğe doğru 24 saatlik bir hızla, yani her zaman aynı hıza sahip bir zaman akışı içerisinde hareket etmekteyiz. Başka bir ifadeyle, zaman geçmişten şimdiki zamana, oradan da geleceğe doğru doğrusal bir seyir izlemektedir.
Takyon dünyasındaki tüm ölçümler matematiksel olarak eksi, yani negatif değerler aldığı için; bu sanal dünyadaki bir kişiye göre eksi (-) zaman oluşmakta, bu durumda zaman tersine dönmektedir. Yani eğer ki takyonlar varsa, bir kişi gelecekten geçmişe mesajlar gönderebilecektir ve bu durum, modern bilimin kalbinde yer alan “neden-sonuç zincirini” bozacaktır.
Bir Gün Bir Takyon Gözlemlemek Mümkün Olacak mı?
Aslında bu sorunun kesin cevabını vermemiz mümkün değil. Diğer parçacıklar gibi, muhtemelen akıl almaz derecede küçük olmaları bir yana, takyonlar her zaman ışıktan daha hızlı hareket ettiğinden, yaklaşırken bir tanesini tespit etmek mümkün değildir. Bunun nedeni, ilişkili tüm fotonlardan daha hızlı hareket etmesidir.
Her ne kadar matematik yoluyla bu soyut kütleyi hesaplayabiliyorsak da, bizim bildiğimiz ve kullandığımız ölçü aletleriyle bunları ölçemeyiz, tartamayız ve göremeyiz. Bunlar matematik olarak varlar, fakat fiziken yoklar.
Takyonların gerçekte gösterdiği şey, evreni anlama arayışımızda hayal gücünün önemidir. Onlar var olmayabilirler ve varlarsa bir tane ölçme umudumuz olmayabilir. Ama teknolojimizin yakalayamadığını, zihnimiz yakalayabilir. Zamanda geriye yolculuk eden bir parçacığın olasılığını ve bunun zamanın doğası, Evren ve onları dolduran olaylar hakkında ne söylediğini düşünebiliriz.
Sibel Çağlar - Matematiksel.org







Yorumlar